Hiện nay có khá nhiều phương pháp dánh giá chất lượng dịch vụ doanh nghiệp. Một trong số đó chính là Mô hình ServPerf, công cụ đánh giá chất lượng dịch vụ dựa trên hiệu suất thực tế khách hàng trải nghiệm. Mô hình này cung cấp các tiêu chí cụ thể để có thể đánh giá hiệu suất hiện tại, xác định các vấn đề cần cải thiện và thiết lập các biện pháp nhàm nâng cao chất lượng.

Nội dung
- 1 MÔ HÌNH SERVPERF – ĐÁNH GIÁ CHẤT LƯỢNG DỊCH VỤ
- 2 SỰ RA ĐỜI CỦA MÔ HÌNH SERVPERF
- 3 CẤU TRÚC HÌNH THÀNH CỦA MÔ HÌNH SERVPERF
- 4 CÔNG THỨC CỦA MÔ HÌNH SERVPERF
- 5 ƯU ĐIỂM CỦA MÔ HÌNH SERVPERF TRONG VIỆC ĐO LƯỜNG CHẤT LƯỢNG
- 6 NHƯỢC ĐIỂM CỦA MÔ HÌNH SERVPERF
- 7 ỨNG DỤNG CỦA MÔ HÌNH SERVPERF TRONG THỰC TẾ
- 7.1 1. Đánh giá chất lượng dịch vụ trong các ngành dịch vụ
- 7.2 2. Nâng cao trải nghiệm khách hàng
- 7.3 3. Đo lường chất lượng dịch vụ trong giáo dục
- 7.4 4. Cải tiến chất lượng dịch vụ công
- 7.5 5. Hỗ trợ nghiên cứu thị trường và đánh giá nội bộ
- 7.6 6. Tối ưu hóa dịch vụ số và thương mại điện tử
- 7.7 7. Phát triển năng lực nhân sự
MÔ HÌNH SERVPERF – ĐÁNH GIÁ CHẤT LƯỢNG DỊCH VỤ
Mô hình ServPerf – (Service Performance Model) là một phương pháp đánh giá chất lượng dịch vụ tập trung vào hiệu suất thực tế của dịch vụ mà khách hàng nhận được, thay vì dựa vào kỳ vọng như mô hình SERVQUAL.
Mô hình ServPerf ra đời năm 1992 do Cronin và Taylor sáng tạo nên và đã trở thành một trong những công cụ được sử dụng rộng rãi để đo lường và cải thiện chất lượng dịch vụ. Do đây là một ngành khó đo lường do tính chất vô hình và không lưu trữ được. Việc thẩm định chất lượng lại bằng sự cảm nhận cá nhân phụ thuộc nhiều vào trạng thái tâm lý cá nhân.
ServPerf đơn giản hóa việc đo lường chất lượng dịch vụ bằng cách chỉ tập trung vào hiệu suất thực tế thay vì so sánh giữa kỳ vọng và thực tế.
Mô hình này giả định rằng hiệu suất thực tế là yếu tố duy nhất và quan trọng nhất trong việc đánh giá chất lượng dịch vụ.

SỰ RA ĐỜI CỦA MÔ HÌNH SERVPERF
Mô hình SERVPERF được J.J. Cronin và S.A. Taylor giới thiệu vào năm 1992 như một biến thể của mô hình SERVQUAL. Khác với SERVQUAL đo lường chất lượng dịch vụ dựa trên sự khác biệt giữa cảm nhận và kỳ vọng của khách hàng, SERVPERF chỉ tập trung vào mức độ cảm nhận thực tế của khách hàng về dịch vụ. Các tác giả cho rằng cảm nhận hiện tại phản ánh chính xác hơn chất lượng dịch vụ, còn kỳ vọng không cần thiết trong quá trình đo lường.
Mô hình SERVPERF kế thừa bộ câu hỏi gồm 22 mục từ SERVQUAL nhưng loại bỏ phần đánh giá kỳ vọng, nhờ đó rút ngắn bảng hỏi và giảm sự nhàm chán cho người khảo sát. Các nghiên cứu thực nghiệm sau đó đã chứng minh tính hiệu quả và ưu thế của SERVPERF so với SERVQUAL, khi mô hình này cho kết quả đo lường rõ ràng hơn và dễ tính toán hơn. SERVPERF đã được nhiều nhà nghiên cứu và chuyên gia marketing công nhận là công cụ đánh giá chất lượng dịch vụ đáng tin cậy, nhấn mạnh vai trò của giá trị cảm nhận thay vì kỳ vọng trong việc đánh giá chất lượng dịch vụ.
>>> CEM là gì ? Vai trò của CEM quản trị trải nghiệm khách hàng trong doanh nghiệp
CẤU TRÚC HÌNH THÀNH CỦA MÔ HÌNH SERVPERF
Mô hình ServPerf được xây dựng dựa trên 5 thành phần cốt lõi nhằm đo lường chất lượng dịch vụ, tương tự như mô hình SERVQUAL, nhưng tập trung hoàn toàn vào hiệu suất thực tế của dịch vụ. Cụ thể gồm:
-
Độ tin cậy (Reliability): Đánh giá khả năng cung cấp dịch vụ đúng hẹn, chính xác và đáng tin cậy theo như đã cam kết với khách hàng.
-
Tính sẵn sàng phục vụ (Responsiveness): Phản ánh mức độ nhanh nhạy và thiện chí của nhân viên trong việc hỗ trợ, giải đáp và xử lý yêu cầu của khách hàng.
-
Sự đảm bảo (Assurance): Bao gồm trình độ chuyên môn, kỹ năng và thái độ phục vụ, góp phần tạo cảm giác yên tâm, tin tưởng nơi khách hàng.

-
Sự thấu cảm (Empathy): Thể hiện qua việc quan tâm đến từng khách hàng như một cá thể riêng biệt, lắng nghe và thấu hiểu nhu cầu của họ.
-
Phương tiện hữu hình (Tangibles): Đề cập đến yếu tố vật chất như trang thiết bị, cơ sở hạ tầng, hình thức nhân viên – những điều dễ dàng nhận thấy bằng mắt thường và tạo ấn tượng ban đầu về chất lượng dịch vụ.
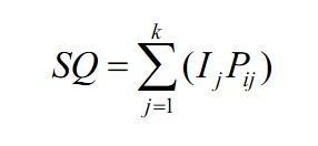
CÔNG THỨC CỦA MÔ HÌNH SERVPERF
Với hệ thống mô hình Servperf như hiện tại thì các nhà quản lý cũng có thể có công thức chung cho mô hình SERVPERF

Trong đó:
-
SQ: Chất lượng DV
-
Pij: Cảm nhận của KH i đối với DV j nào đó
-
Ij: trọng số của DV j
ƯU ĐIỂM CỦA MÔ HÌNH SERVPERF TRONG VIỆC ĐO LƯỜNG CHẤT LƯỢNG
Mô hình ServPerf hiện nay được áp dụng khá nhiều tại các doanh nghiệp. Chúng được coi như một công cụ đo lường chất lượng một hiệu quả dịch vụ và dễ dàng để triển khai. Nhờ có tính tập trung vào các khía cạnh thực tiễn và loại bỏ những yếu tố khá phức tạp. Những ưu điểm của mô hình này được thể hiện như sau:
-
Đánh giá dựa trên trải nghiệm thực tế của khách hàng
Với các mô hình truyền thống thì mô hình ServPerf sẽ chỉ căn cứ vào cảm nhận được thực tế mà khách hàng có được sau khi sử dụng dịch vụ. Những yếu tố này bị loại bỏ sự kỳ vọng vốn mang tính chủ quan cũng sẽ giúp phản ánh chính xác hơn chất lượng và dịch vụ mà họ cung cấp.

-
Cấu trúc đơn giản, dễ triển khai
Các mô hình này ServPerf thường được sử dụng hệ thống mô hình gọn nhẹ hơn và không đòi hỏi so sánh giữa cảm nhận và kỳ vọng. Đây chính là điều giúp rút gọn khá đáng kể bảng khảo sát và công sức để phân tích dữ liệu hơn. Cuối cùng mục đích chung vẫn sẽ giúp doanh nghiệp tiết kiệm chi phí hơn cho doanh nghiệp.
-
Giảm thiểu sự sai lệch trong đánh giá
Mô hình ServPerf gọn nhẹ nhưng tạo ra được sự nhất quán hơn trong các kết quả đánh giá và đặc biệt là trong các môi trường có sự đa dạng cao về văn hóa và địa lý hay các hành vi tiêu dùng.
-
Tập trung vào hiệu quả cải tiến dịch vụ
Với mô hình này có thể giúp cho các doanh nghiệp khá dễ dàng nhận diện được các điểm yếu tố trong quá trình cung cấp dịch vụ, từ đó đưa ra các biện pháp giúp cải thiện cụ thể. Sự rõ ràng trong kết quả đánh giá là cơ sở vững chắc để đưa ra các quyết định chiến lược nhằm nâng cao chất lượng dịch vụ.
-
Lý tưởng cho các lĩnh vực dịch vụ vận hành đơn giản
Hệ thống ServPerf đặc biệt khá phù hợp với các ngành dịch vụ kỹ thuật cũng như bảo trì … nơi các chất lượng dịch vụ sẽ chủ yếu được phản ánh thông qua hiệu suất thực hiện. Mô hình này có thể giúp đánh giá và sát sao hiệu quả hơn cho các hoạt động mà không cần đến các yếu tố trừ tượng như kỳ vọng.

-
Đảm bảo tính khách quan trong kết quả khảo sát
Bằng việc chỉ đo lường cảm nhận thực tế, ServPerf hạn chế sự ảnh hưởng của cảm xúc cá nhân hay định kiến chủ quan, từ đó mang lại dữ liệu đáng tin cậy hơn phục vụ cho các phân tích và quyết định quản lý.
>>> So sánh mô hình chất lượng dịch vụ SERVQUAL và SERVPERF
NHƯỢC ĐIỂM CỦA MÔ HÌNH SERVPERF
Với những ưu điểm của mô hình ServPerf như chúng tôi nói ở trên thì các nhà quản lý cũng có chia sẻ về một số nhược điểm về chúng. Họ chỉ ra là mô hình này không phản ánh được mối quan hệ giữa sự hài lòng, thỏa mãn của người sử dụng với chất lượng dịch vụ được cung cấp. Một số nhà nghiên cứu cho rằng ServPerf chưa kiểm tra được toàn diện và triệt để các nhu cầu dịch vụ và chất lượng cung cấp.
Do trong mô hình ServPerf chất lượng dịch vụ được đánh giá chỉ thông qua nhận thức của khách hàng mà không có đánh giá về chất lượng dịch vụ trong sự kỳ vọng của khách hàng nên không thể hiện được thông tin then chốt cần thiết cho nhà ra quyết định ảnh hưởng đến mức độ cảm nhận chất lượng dịch vụ của khách hàng, đó là sự kỳ vọng của khách hàng do không biết đặc điểm nào của dịch vụ được khách hàng kỳ vọng cao (Kandumpully, 2002; Jain & Gupta, 2004).
ỨNG DỤNG CỦA MÔ HÌNH SERVPERF TRONG THỰC TẾ
Mô hình SERVPERF đã chứng minh được tính hữu ích rộng rãi trong nhiều ngành nghề khác nhau, đặc biệt là trong việc đo lường và nâng cao chất lượng dịch vụ. Sau đây là những lĩnh vực tiêu biểu ứng dụng hiệu quả mô hình này:
1. Đánh giá chất lượng dịch vụ trong các ngành dịch vụ
- Ngân hàng: Các tổ chức tài chính sử dụng SERVPERF để phân tích mức độ hiệu quả trong cung cấp dịch vụ, qua đó xác định các khía cạnh cần cải thiện như tính tin cậy, sự đảm bảo và khả năng phản hồi nhằm nâng cao sự hài lòng của khách hàng.
- Ngành khách sạn và du lịch: Các doanh nghiệp hoạt động trong lĩnh vực này triển khai mô hình để theo dõi hiệu suất ở từng giai đoạn – từ đặt phòng, trải nghiệm tại điểm đến, đến dịch vụ hậu mãi – nhằm đảm bảo chất lượng toàn diện.
- Y tế: Các cơ sở khám chữa bệnh có thể vận dụng SERVPERF để đánh giá chất lượng chăm sóc y tế thông qua các tiêu chí như phản ứng nhanh, độ chính xác trong chẩn đoán và thái độ tận tâm của nhân viên y tế.

2. Nâng cao trải nghiệm khách hàng
- Bán lẻ: Các nhà bán lẻ khai thác SERVPERF để đánh giá các yếu tố như cơ sở vật chất, sự sẵn sàng hỗ trợ và độ tin cậy của nhân viên, từ đó nâng cao chất lượng phục vụ và gia tăng sự trung thành của khách hàng.
- Giao thông vận tải: Các hãng vận chuyển sử dụng mô hình để đo lường hiệu quả dịch vụ, bao gồm thời gian đúng giờ, sự tiện nghi và độ an toàn, nhằm cải thiện trải nghiệm hành khách.
3. Đo lường chất lượng dịch vụ trong giáo dục
- Các cơ sở giáo dục: Trường học và đại học có thể áp dụng SERVPERF để đánh giá các yếu tố ảnh hưởng đến chất lượng đào tạo và dịch vụ hỗ trợ sinh viên như trang thiết bị, sự tận tâm của giảng viên và hoạt động ngoại khóa.

4. Cải tiến chất lượng dịch vụ công
- Cơ quan hành chính nhà nước: Mô hình SERVPERF giúp các tổ chức công kiểm tra hiệu quả hoạt động của các dịch vụ hành chính, từ việc cấp phép đến hỗ trợ người dân, từ đó có cơ sở cải cách quy trình và nâng cao chất lượng phục vụ.
5. Hỗ trợ nghiên cứu thị trường và đánh giá nội bộ
- Nghiên cứu thị trường: Doanh nghiệp sử dụng SERVPERF để thu thập dữ liệu phản ánh thực tế về cảm nhận của khách hàng đối với chất lượng dịch vụ, qua đó điều chỉnh chiến lược kinh doanh phù hợp.
- Đánh giá nội bộ: Việc áp dụng mô hình trong nội bộ tổ chức giúp giám sát hiệu suất dịch vụ theo thời gian, hỗ trợ quá trình cải tiến liên tục nhằm đáp ứng tốt hơn nhu cầu khách hàng.
6. Tối ưu hóa dịch vụ số và thương mại điện tử
- Dịch vụ trực tuyến: Dù không được thiết kế riêng cho môi trường kỹ thuật số, SERVPERF vẫn có thể được điều chỉnh để đánh giá các yếu tố như tốc độ phản hồi, tính ổn định của hệ thống và trải nghiệm người dùng trên các nền tảng trực tuyến.
7. Phát triển năng lực nhân sự
- Đào tạo nhân viên: Dữ liệu từ SERVPERF giúp doanh nghiệp xác định những kỹ năng và lĩnh vực cần đào tạo để nâng cao chất lượng phục vụ và hiệu quả làm việc của đội ngũ nhân sự.
Nhìn chung, mô hình SERVPERF là công cụ hữu ích cho các tổ chức muốn đánh giá chất lượng dịch vụ dựa trên hiệu suất thực tế, thay vì dựa trên kỳ vọng chủ quan của khách hàng. Điều này cho phép doanh nghiệp đưa ra những điều chỉnh chính xác và chiến lược cải tiến hiệu quả, hướng đến sự phát triển bền vững.
>>> Customer Journey là gì? Các bước xây dựng hành trình khách hàng
Mô hình SERVPERF mang lại nhiều lợi ích thiết thực trong việc đánh giá và nâng cao chất lượng dịch vụ. Bằng cách tập trung vào hiệu suất thực tế, mô hình giúp doanh nghiệp nhận diện điểm mạnh, điểm yếu và cải thiện trải nghiệm khách hàng một cách hiệu quả. Ngoài ra, các dịch vụ đi kèm như đào tạo nhân viên, tối ưu hóa quy trình phục vụ và đo lường sự hài lòng góp phần nâng cao chất lượng tổng thể. Nhờ đó, doanh nghiệp có thể xây dựng lòng tin, tăng tính cạnh tranh và phát triển bền vững trên thị trường.












